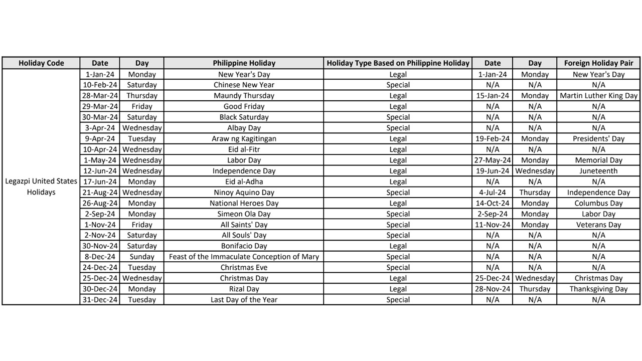
2024 Holiday pairing schedule

2024 Holiday pairing schedule





    • Related Articles

    • Holiday Pay

      Ref. No.: CPP-HR_0202_V1_Holiday Pay  Prepared C. Malay 12/03/2013 Approved Execom 12/09/2013 1.0     Objective   To define regular and special holidays to be observed by the Company and to set policy in payment for work rendered on such holidays.  ...
    • 2025 Flexi Holiday Schedules

      The 2025 Flexi Holiday Schedule is designed to outline the tagged holidays assigned to your account. It serves as a reference to help you understand your tagged holidays and submit your leave requests in advance, ensuring efficient workforce ...
    • ALLSEC FAQs

      I have filled an Attendance Swipe but it doesn’t show the same in the Attendance Calendar. What do I need to do? This is expected behavior due to the fact that the adjustments and other requests raised by the attendance calendar get updated in ...
    • HMO Teleconsultation and Online Consultation

      A. Teleconsultation via VRP Medical Center Please contact the numbers through Viber: 09173251363 09173281363 09173241363 09178315289 09155337285 09171243039 09176382393 02-53101818 Consultation Schedule: Monday - Friday, 8AM to 5PM Process Flow for ...
    • Internal Communication Policy

      Company Policy & Procedure Manual Internal Communication Policy Ref. No.: CPP-HR_0501 Version 3.0 Page 1 Of 6 Prepared C. Baroma 12 Feb 2024 Approved R. Tan Filename CPP-HR_0501_V3_Internal Communication Policy Version Approval Date Prepared By ...